The Voges-Proskauer (VP) test determinesif an organism produces acetylmethylcarbinol from glucose fermentation. Voges-Proskauer is a double eponymnamed after two microbiologists working at the beginning of the 20th century who first observed the red color reaction produced by appropriate culture media after treatment with potassium hydroxide.

It was later discovered that the active product in the medium formed by bacterial metabolism is acetyl methyl carbinol, a product of the butylene glycol pathway.
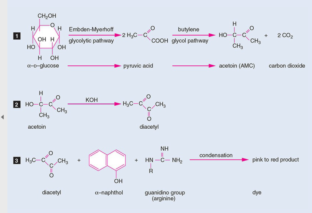
Principle of VP Test
Pyruvic acid, the pivotal compound in the fermentative degradation of glucose, is further metabolized through various metabolic pathways, depending on the enzyme systems possessed by different bacteria. One such pathway producesacetoin (acetyl methyl carbinol), a neutral-reacting end product.
If present, acetylmethylcarbinol is converted to diacetyl in the presence of α-naphthol, strong alkali (40% KOH), and atmospheric oxygen. The diacetyl and guanidine-containing compounds found in the peptones of the broth then condense to form a pinkish-red polymer.

Organisms such as members of the Klebsiella-Enterobacter-Hafnia-Serratia group produce acetoin as the chief end product of glucose metabolism and form smaller quantities of mixed acids.
Media and Reagents
- **Media:**Methyl red-Voges-Proskauer (MR/VP) broth (formulated by Clark and Lubs) is used in Voges–Proskauer test. The composition of MR/VP broth is as follows:  Ingredient MR/VP broth (g/L) Polypeptone 7 g Glucose 5 g Dipotassium phosphate 5 g Distilled water 1 L Final pH 6.9
- Reagents:
5% α-naphthol (5 g/100 mL) in 95% ethyl alcohol. The reagent should be stored at 4-8°C in the dark. The shelf life is 2-3 weeks. 40% potassium hydroxide (KOH)Dissolve 40 g of potassium hydroxide pellets in a polyethylene bottle in 100 ml of distilled water. Keep the bottle in a cool water bath during preparation.
Quality Control
Examine broth for signs of contamination, dehydration, and deterioration before use. Perform QC on each new lot of media and reagent before use, with one organism demonstrating a positive reaction and another giving a negative reaction.Organisms
- Klebsiella pneumoniaeATCC 13883—VP positive (red)
- Escherichia coliATCC 25922—VP negative (no change)
Procedure of Voges Proskauer
Test
- Inoculate an MR/VP broth tube with a pure culture of the test organism.
- Incubate for 24 hours at 35°C
- At the end of this time, aliquot 1 mL of broth into a clean test tube.
- Add 0.6mL of 5% α-naphthol*, followed by 0.2 mL of 40% KOH. (Note: The reagents must beadded in this order.)
- Shake the tube** gently to expose the medium to atmospheric oxygen and allow the tube to remain undisturbed for 10 to 15 minutes.
*The α-naphthol was not part of the original procedure but was found to act as a color intensifier by Barritt and must be added first.
** Shaking the tubes increases the VP reaction.
Results and Interpretation
A positive VP test is a development of a pink-red color at the surface within 15 minutes or more after the addition of the reagents. The test should not be read after standing for over 1 hour because negative Voges-Proskauer cultures may produce a copper-like color, potentially resulting in a false-positive interpretation.
If the result is negative, the glucose or MR/VP broth can be incubated for up to 48 h, and the test repeated.
Reporting results
-
Most members of the family Enterobacteriaceaegive opposite MR and VP reactions; however, certain organisms, like H. alveiand Proteus mirabilis, may give both a positive MR reaction and a positive VP reaction (often delayed).
-
Streptococcus mitisgroup organisms are VP negative, whereas the other viridans group streptococci are VP positive, except Streptococcus vestibularis, which is VP variable
Voges-Proskauer
(VP) Positive Organisms ofEnterobacteriaceae
familyare:
- Klebsiella species
- Enterobacter species
- Hafnia species
- Serratia species
Limitations of VP Test
- With prolonged incubation (>3 days), some VP-positive organisms can produce an acid condition in the medium, yieldingweak positive or false-negative VP reactions.
- Do not add more than 2 drops of KOH per 2 ml medium. Excess amounts of KOH can give a weakly positive reaction, which may be masked by the formation of a copper-like color because of the reaction of KOH with α-naphthol alone.
- Do not read the test more than 1 h after adding the VP reagents. A copper-like color may develop, resulting in a potential false-positive interpretation.
- Reagents must be added in thespecified order. A reversal of order may result in a weakly positive or false-negative VP result.
References and further readings
- Clinical Microbiology Procedures Handbook, Fourth Edition. (2016). In Clinical Microbiology Procedures Handbook, Fourth Edition. American Society of Microbiology. https://doi.org/10.1128/9781555818814
- Color Atlas and Textbook of Diagnostic Microbiology, Koneman, 5th edition